728x90
2004번: 조합 0의 개수
첫째 줄에 정수 $n$, $m$ ($0 \le m \le n \le 2,000,000,000$, $n \ne 0$)이 들어온다.
www.acmicpc.net
분석

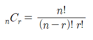
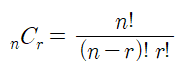
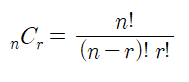
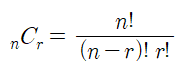
- 조합 = nCm = n!/(m!*(n-m)!)
- 조합을 구해서 답을 내는 것이 아닌 조합 내의 0의 개수를 구하는 문제
- 끝자리가 0이라는 것은 10의 배수
- 10의 개수 = 2의 개수와 5의 개수 중 작은 것의 개수 (2와 5가 짝을 이뤄 10이되기 때문)
- n!가 가지고 있는 2의 개수 - m!이 가지고 있는 2의 개수 - (n-m)!이 가지고 있는 2의 개수
- n!가 가지고 있는 5의 개수 - m!이 가지고 있는 5의 개수 - (n-m)!이 가지고 있는 5의 개수
- 중에 작은 수
- 10의 개수 = 2의 개수와 5의 개수 중 작은 것의 개수 (2와 5가 짝을 이뤄 10이되기 때문)
풀이
"""
n,m<=2,000,000,000
"""
n,m=map(int,input().split())
def count(x, k):
cnt = 0
while x:
x//=k
cnt+=x
return cnt
# 2 개수
t=count(n,2)-count(m,2)-count(n-m, 2)
# 5 개수
f=count(n,5)-count(m,5)-count(n-m,5)
print(min(f,t))
728x90